Converting US mortgage rates to Canadian rates

39 Views Asked by At

Canadian mortgage rates are different from US rates. Canadian rates are compounded semi-anually. So a rate of 6% apparently would be 6.09% in practice.

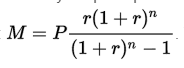
What is the formula for converting a US rate to Canadian rate? I came across a formula here but it doesn't help since I don't know how to get RM in the formula.

Rewording question - I need to find the formula for monthly mortgage payments. The normal formula finds US monthly payments. What would be the formula to find Canadian monthly payments?

1

There are 1 best solutions below

6
On BEST ANSWER

Your question is how to convert a nominal annual rate, compounded semi-annually, to a nominal annual rate, compounded monthly. A nominal annual rate compounded $n$ times a year is usually designated $r^{(n)}.$ The equivalent effective rate $r$ is given by $$ \left(1+\frac{r^{(n)}}{n}\right)^n=1+r $$ The formula gets a bit complicated, so let me do an example. Suppose you are quoted a Canadian rate of $8\%$. The effective annual rate is given by $$\left(1+\frac{.08}{2}\right)^2=1+r\implies r =.0816$$

Now we have to find the equivalent monthly rate: $$ \left(1+\frac{r^{(12)}}{12}\right)^{12}=1.0816\implies r^{(12)}=12\left(\sqrt[12]{1.0816}-1\right)\approx .078698$$

The equivalent U.S. rate is about $7.87\%$

EDIT Just in case I haven't made myself clear, what I'm calling the "effective annual rate" is what the U.S. truth-in-lending law calls the "annual percentage rate" (APR).

EDIT To get the monthly payments, use the formula you linked, with $n=$ the total monthly payments. (For a $30$ year loan, $n$ is $360$). The $r$ to use in that formula should be the nominal monthly rate that I called $r^{(12)}$ divided by $12$. So in the example above, we would have $$r = \frac{.078698}{12}\approx .006558$$